🪴qql1's digital garden
Search
搜索
暗色模式
亮色模式
阅读模式
探索
Home
❯
笔记
❯
数学
❯
高等数学
❯
高数
❯
高数上册
❯
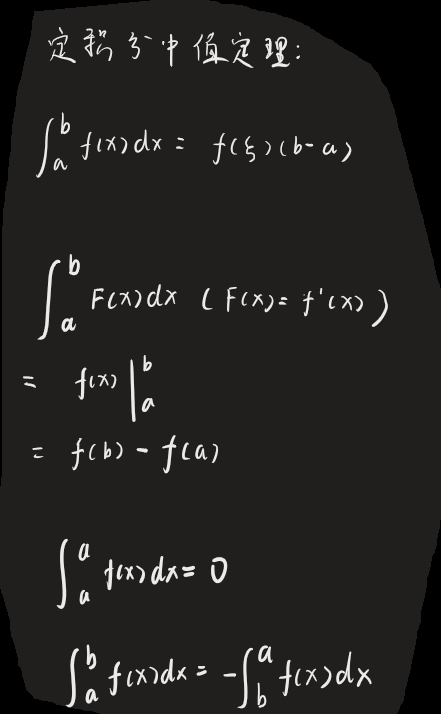
高数上五 1,2,3 定积分 换元 分部积分
高数上五 1,2,3 定积分 换元 分部积分
2021年12月02日
0分钟阅读
关系图谱