高数上一7 等价无穷小 无穷小的比较 2021年10月11日 9:41

image

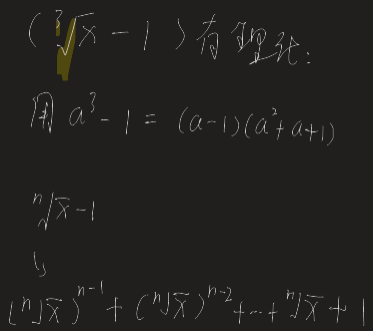
等价无穷小

image

无穷小的比较/高阶无穷小/低阶无穷小/等价无穷小 imageimage

无穷小的运算/等式中的无穷小/忽略低阶无穷小

在等式中, 如果满足以下条件

  1. 存在最低阶无穷小
  2. 存在比他高阶的无穷小 可以把最低阶无穷小忽略为0