有理化这个名词我们最早在初中就接触过,当时是在化简二次根式时用到的. 这就提醒我们,在遇到根号的时候,可能会用到有理化的方法. 其实看名字也能看出来,要想“有理化”,它至少要先是“无理”的. 我们分三种情况去讨论这种方法.
1. 分子有理化
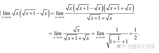
既然要分子有理化,分子至少要带根号,所以当你看见分子是根号减去某个东西的时候,就应该考虑这种方法. 具体做法就是:分子分母同乘以那个根式的共轭根式,然后展开,就会变成熟悉的题型. 比如:
有时候的题目并没有分子分母,只是单纯的根号减根号,或者根号减去一个不带根号的式子. 此刻你应该意识到,这可能也是在考你分子有理化. 哪来的分子呢?只要把原式看成原式/1 ,就有分子了. 然后剩下的套路跟前面一样. 再举个例子:

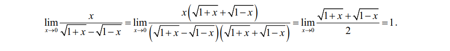
2. 分母有理化
分母中带有根号和相减的形式,多半就是用分母有理化了. 也很简单,就不多说了,只举一个例子:

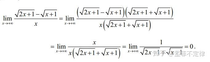
3. 分子分母同时有理化
如果分子分母都有根号,可以考虑用这个方法,即分子分母同乘以分子的共轭根式,再同乘以分母的共轭根式,展开以后绝大多数问题都将变得明朗. 比如:
