🪴qql1's digital garden
Search
搜索
暗色模式
亮色模式
阅读模式
探索
Home
❯
笔记
❯
数学
❯
高等数学
❯
高数
❯
小结论 小技巧
❯
三角函数和差化积 及 积化和差 公式
三角函数和差化积 及 积化和差 公式
2021年12月17日
1分钟阅读
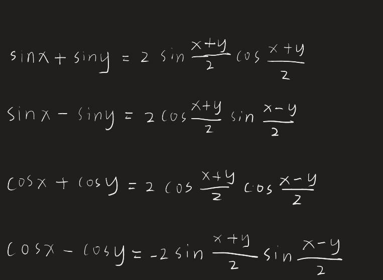
和差化积 及 积化和差 公式:
关系图谱
反向链接
高数小结论